太阳成集团(tyc122cc·china)官网-SunCity Group
首页
经理书记信箱
导航
关于我们
太阳成集团122ccvip简介
历史沿革
组织机构
联系我们
团队队伍
知名专家
教师按职称
教师按研究方向
教师按系别
院机关与实验人员
计算中心
人才培养
本科生
研究生
拔尖基地
员工工作
EFREI国际班
科学研究
研究方向
科研平台
科研动态
学术活动
科研指南
人才引进
人才招聘
博士后招募
党群工作
学习专区
党建工作
关工委工作
工会工作
下载专区
员工天地
员工风采
员工动态
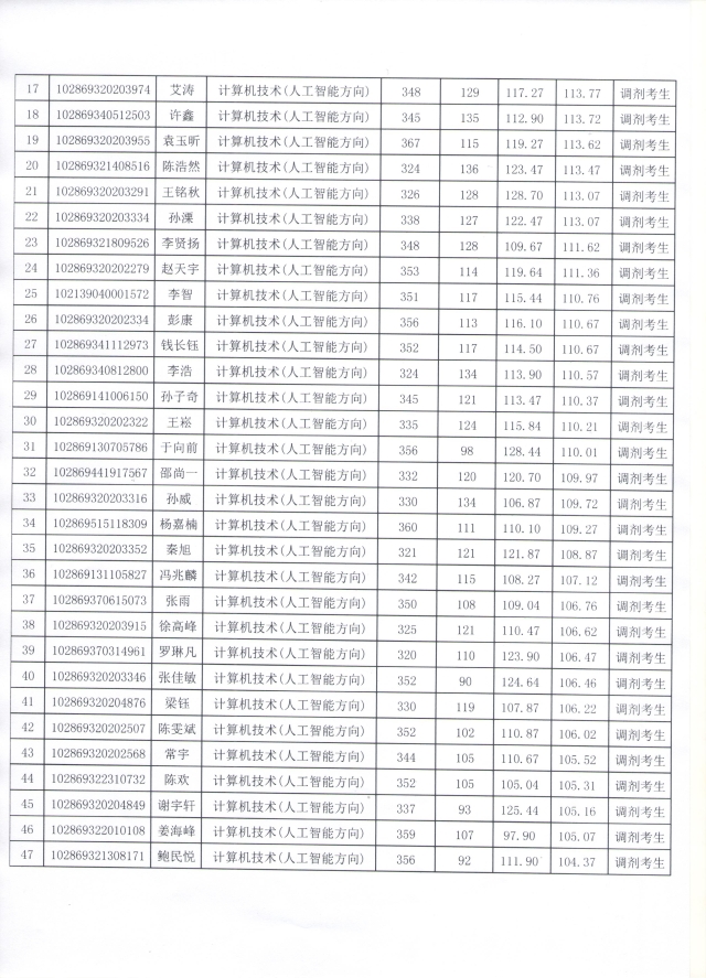
2019年苏州联合研究生院计算机技术专业硕士生复试结果
发布者:蔡志玲
发布时间:2019-03-27
浏览次数:
14128
相关链接
联系方式
通信地址:南京市江宁区太阳成集团路2号太阳成集团九龙湖校区太阳成集团122ccvip
邮政编码:211189
办公地点:太阳成集团九龙湖校区计算机楼
公司微信公众号